Quarta, 14 de Janeiro de 2026

EXTRATO DE OUTORGA DE DIREITO DE USO DE RECURSOS HÍDRICOS

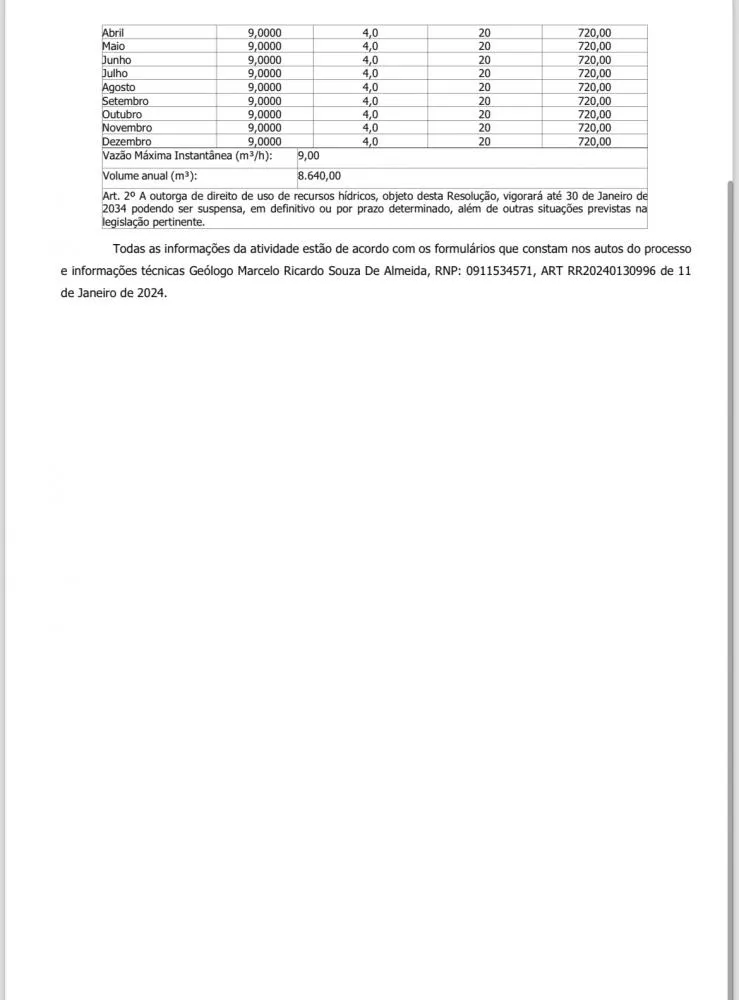
PORTARIA DE RECURSOS HÍDRICOS N.º 008/2024 DE 30 DE JANEIRO DE 2024.

28/05/2024 às 11h53
Por: Alencar
Compartilhe:

Foto

Foto

* O conteúdo de cada comentário é de responsabilidade de quem realizá-lo. Nos reservamos ao direito de reprovar ou eliminar comentários em desacordo com o propósito do site ou que contenham palavras ofensivas.
500 caracteres restantes.
Comentar
Mostrar mais comentários